마틴 슈크렐리
왜 그는 미국인이 가장 싫어하는 남자가 되었을까?
이야기는 이렇다.
그는 헤지펀드 매니저 출신으로 Turing Pharmaceuticals라는 회사를 창업한 뒤에 다라프림이라는 AIDS 환자들에게 필요한 약을 인수한 뒤에, 한 알의 가격을 기존의 13.5$에서 750%로 50배 올렸다. 당연히 이 일은 사회적으로 파장을 일으켰고, 그렇게 그는 미국인이 가장 싫어하는 남자가 되었다. 이후 그는 이 사건과 별개로 헤지펀드 시절의 2건의 증권 사기 혐의와 1건의 공모 혐의로 인하여 2018년 7년형을 받고, 2022년 5월에 약 4년 5개월을 감옥에 있다가 출소하였다. 그는 미국인이 너무 싫어한 나머지, Pharma bro라는 그에 대한 다큐멘터리도 제작되었다.
이 외에도 그가 한 행동들은 다음과 같다.
우탱클랜의 한정판 앨범 Once Upon a Time in Shaolin를 경매를 통해 200만 달러에 구입하였고, 혼자만 들었다. 재밌는 점은 그가 기소된 이후에 이 앨범은 미국 정부에 의하여 압류되었고, 이를 구매한 곳은 바로 PleaserDAO였다.
트위터에서 힐러리 클린턴의 머리카락을 가져오면 5000달러를 주겠다고 했다가 보석집행이 정지되었다.
그는 의회에 불려가서 모든 질문에 대하여 미국 수정헌법 5조에 의거하여 묵비권으로 일삼았다.
감옥 내에서 MIT Open Course와 KHAN Academy를 즐겨 들었다.
감옥 내에서 Crypto Thugs라는 크립토 스터디를 진행하였다.
유튜브에서 무료로 금융과 화학 강좌들을 진행하였다.
갑자기 왠 마틴 슈크렐리?

그런 그가 출소하자마자 Web3 산업에 뛰어들었다. 그는 감옥에서 크립토와 블록체인에 대하여 꾸준히 공부해왔다고 한다. 최근 그는 Druglike이라는 Desci 프로젝트를 런칭하겠다고 발표하였고, 나는 도대체 제약으로 그렇게 큰 사회적 물의를 일으키고 나서 뭔 Desci 프로젝트를 하겠다는 건지 궁금해서 그와 이 프로젝트에 대해서 찾아보기 시작하였다.
정말 그는 미국인이 가장 싫어하는 남자 타이틀을 가져갈 자격이 되는가?
나는 먼저 마틴 슈크렐리가 정말로 어떤 사람인지 알아볼 필요가 있었다.
마틴 슈크렐리가 정말로 어떤 사람인지 알아보기 위하여 나는 다음과 같은 자료들을 참고하였다. 마틴 슈크렐리에 대하여 정말 깊이 이해해보고 싶다면, 아래 4개의 영상을 다 보고 직접 판단하는 것을 추천한다. 그럴 시간이 없다면, The Milk Road에서 진행한 인터뷰 요약본을 읽는 것을 추천한다.
Exclusive Interview: Martin Shkreli's New Crypto Company | The Milk Road
Martin Shkreli on Drug Price Hikes and Playing the World’s Villain | Vice
Turing CEO Martin Shkreli Talks 5,000% Drug Price Hike (Full Interview) | CNBC
위 자료들에 근거하여서 마틴 슈크렐리에 대하여 존재하는 두가지 입장 모두를 대변해보겠다.
그는 그럴 자격이 된다.
이 다라프림이라는 약은 엄밀히 따지면, 톡소플라즈마증이라는 톡소포자충이라는 기생충에 의한 감염 질환을 치료하는 약이다. 근데, 이 질환은 면역력이 약한 사람, 즉 어린 아기, 임산부, 장기이식환자, 그리고 HIV 환자들에게 아주 치명적이다. 이 톡소프라즈마증에 대해서는 다라프림이 거의 유일한 약이기 때문에, 마틴 슈크렐리는 자신의 회사의 이익을 위하여 몇몇 사람들의 생명을 직접적으로 빼앗을 수 있는 일을 행하였다.
또한 그는 증권 사기 혐의로 인하여 실형을 선고받았고, 위에서 언급된 기행들을 일삼았다.
troll은 맞지만, 그정돈 아니다.
먼저, 다라프림이라는 약은 약 70년정도 되었는데, 환자들이 복용하였을 때, 심각한 부작용이 함께 뒤따른다. 다라프림의 경우, 톡소포자충만 공격하는 것이 아니라, 환자들의 몸 역시 함께 공격하기 때문에, 이에 대한 더 나은 버전이 필요했고, 그걸 만들려고 한 것이 마틴 슈크렐리이다.
그렇다면 왜 가격을 올렸는가? 마틴 슈크렐리의 튜링 역시 사기업이고, 올린 가격을 통하여 매출을 증가시킨 후에, 그 매출을 다시 R&D에 투자하여 다라프림의 2016년 버전을 새롭게 만드는 것이 목표였다. 이를 위하여 다른 제약 회사들이 기존의 매출의 15% 정도만 R&D에 투자하는 것과 달리, 튜링은 매출의 60~70%를 R&D에 투자하였고, 미국에서 이 약을 필요로 하는 사람이 2천명일 정도로 이 약에 대한 수요가 너무 작았던 나머지, 계속 적자라서 투자자들에게 배당은 물론 불가능하였고, 마틴 슈크렐리 역시 한 푼의 월급도 받지 못하였다고 한다.
또한, 기존의 다라프림의 가격이 너무 낮았던 이유도 있었는데, 마틴 슈크렐리는 이를 ‘자전거 가격에 파는 애스턴 마틴을 사서, 도요타 가격에 파는 것’이라고 비유하였다.
결국, 슈크렐리의 주장에 의하면, 자신은 다라프림이 수익성이 안좋음에도 불구하고, 톡소포자충으로 고통받는 더 많은 사람들을 살리기 위해 튜링사를 설립한 뒤, 더 나은 버전을 만들려고 노력하였고, 이 과정 중에 가격을 올렸다는 것이다.
여담으로, 제약 회사들의 폭리는 화이자와 같은 대기업의 경우, 훨씬 심각하고, 다라프림을 지할한 능력이 안되는 사람들의 경우, 그나 회사에 연락을 하면 무료로 주었고, 이는 약 전체의 65% 정도에 달한다고 한다.
그 밖의 그의 기행들은 이상하긴 하지만, 미국에서 가장 많은 미움을 받을 정도는 아니다.
그래서?
그래서 그는 미국인이 가장 싫어하는 남자 타이틀을 가져갈 자격이 되는가? 각자가 판단해볼 문제이다. 다만, 내가 얘기하고 싶은 것은 대형 미디어에서 다루는 모습이 한 사람의 전부가 아닐 수 있다는 것이다. 결국, DYOR이다.
Druglike
그리고 이 마틴 슈크렐리가 새로 런칭한 프로젝트가 바로 Druglike이다. 만약 Druglike가 재미없었다면, 나는 이 글을 작성하지도 않았을 것이다.
배경지식
현재 약값이 비싼 이유에는 약이 만들어지기까지의 과정의 비용이 큰 영향을 미친다. 하나의 약이 만들어지기까지는 다음과 같은 과정을 거친다.
Drug discovery 단계에는 실제 약을 만들기전에 컴퓨터를 통하여 먼저 타겟 단백질을 찾고, 그에 결합할 수 있는 후보 리간드들을 찾는 과정이 포함된다. 이 전체 과정을 virtual screening이라고 하고, virtual screening 중에 타겟 단백질과 결합하는 리간드의 종류, 방향, 위치에 따라서 얼마나 안정한지 계산하는 과정을 molecular docking이라고 한다. 단백질과 리간드 사이의 결합 친화도와 리간드 효율에 따라서 화합물의 안정도가 결정되고, 이는 약으로서의 가능성과 직접적으로 연결된다.
문제점
문제는 이 virtual screening을 할 수 있는 툴이 굉장히 비싸고, 대기업들이나 대형 랩들에서만 접근 가능하다는 것이다. 또한, 수많은 리간드들에 대하여 각각의 방향, 위치에 따른 molecuar docking을 계산하려면 엄청난 양의 연산이 필요하고, 이에 따라서 대기업들이나 대형 랩들에서는 수많은 CPU나 슈퍼컴퓨터를 사용하거나, 클라우드 제공자들과 별도의 계약을 맺어서 진행한다. 이러한 이유로 현실적으로 개인이나, 작은 기업체에서 이 virtuals screening을 진행하기가 힘들고, 여기에 들어가는 비용이 높은 약값에 일조한다.
목표
Druglike의 목표는 virtual screening에 대한 접근을 다음과 같은 2가지 기능으로 통해 민주화하는 것이다.
타겟 단백질 선정, 약 디자인 및 virtual screnning을 할 수 있는 웹 기반의 툴을 무료로 제공한다. 이는 현재도 데모로 사용해볼 수 있다.
블록체인 기반의 분산화된 컴퓨팅을 통하여 연산에 필요한 비용을 낮춘다.
여기서 기존의 Proof of Work를 변형시킨 Proof of Optimization이라는 메커니즘을 새로 제안하였다.
Druglike가 Filecoin이나 Golem과 같은 Web3 탈중앙화 연산 프로토콜과 가지는 가장 큰 차이점은 Druglike은 분산화된 컴퓨팅 부분이 실패하더라도, 웹 기반의 무료 virtual screening 툴로써 충분히 가치가 있다는 것이다.
Proof of Optimization
검증 가능한 연산
Virtual screening에 사용되는 연산을 분산할 때 가장 중요한 것은 해당 연산이 검증가능해야하고, 연산에 비하여 검증의 과정이 간단해야 된다. 이에 가장 대표적인 예시가 바로 Proof of Work이다. 물론, Proof of Work의 원래 목적은 합의이지만, 연산은 힘들고, 검증은 쉽다는 특징이 여기에 잘 부합한다.
Proof of Work를 못쓰는 이유
기존의 비트코인에서 사용하는 Proof of Work에서는 주어진 타겟보다 작은 결과를 만들어내는 논스 값을 가장 먼저 찾아내는 사람에게 보상이 주어졌다. Proof of Optimization에서는 임의의 함수 F(x)에 대하여 가장 최적화된 결과값을 만들어내는 인풋 x를 찾는 사람에게 보상이 주어진다. Druglike에서 Proof of Optimization이 필요한 이유는 virtual screening과 molecular docking의 과정 모두 최저의 자유 에너지 상태를 가지는 단백질-리간드 조합을 찾는 최적화 문제이기 때문이다. 그렇기 때문에, 기존의 Proof of Work를 사용하기에는 타겟값을 어떻게 정해야할지의 문제와 어차피 정하더라도 가장 최적화된 답을 찾는 것이 중요하기 때문에 무리가 있다.
Proof of Optimization 메커니즘
Proof of Optimization의 과정은 다음과 같다.
Task Provider가 최적화 문제를 제시한다. 이 Task Provider는 Druglike의 경우, 특정 모델에 대한 연산을 원하는 개인이나 회사, 연구실일 수 있다.
Task Provider는 보상 r을 escrow account에 예치한다.
Solver들은 해당 함수 F(x)를 최적화하려고 노력하고, 자신이 생각하는 가장 정답 x를 후보 정답 집합인 Ac에 발행한다. Druglike의 경우, 모델의 자유 에너지 상태가 가장 낮은 것을 찾는 것이기 때문에, Solver들은 F(x) 값이 최소가 되는 x를 찾으려고 노력한다.
Validator들은 Ac의 이 정답들이 최적화 문제의 조건에 부합하는지 먼저 확인하고, 각각의 x에 대한 결과값 y = F(x)를 도출한다. Validator들끼리 합의에 이뤄진 (x,y) 쌍들은 검증된 정답 집합 Av로 발행된다.
일정 시간 d 이후, Av에서 가장 최적화된 답을 도출한 Solver에게 escrow account에 예치된 보상 r을 전달한다. 이 때, Task Provider는 가장 최적화된 답을 도출한 한명에게 보상을 줄 수도 있고, 상위 몇명에게 줄 수도 있는 등, 보상 분배 메커니즘을 커스터마이징할 수 있다.
취약점
DDOS 공격
악의적인 Solver는 처음 제대로 된 정답 x를 발행한 뒤에, 임의의 정답 값을 계속해서 발행하여서 valdiator들이 다른 Solver들의 답을 확인할 수 없게 DDOS 공격을 할 수 있다.
이를 막기 위하여 Solver들이 정답을 발행할 때에 결과의 상한값 Yb와 함께 어느정도의 담보를 예치하도록 해서, 만약에 Solver가 제공한 x에 따른 y=F(x)가 Yb를 넘을시에 담보를 slashing하여서 이와 같은 공격을 막을 수 있다. Validator들은 여러 정답들이 발행되었을 때, 낮은 상한값 Yb를 가진 정답들을 먼저 검증할 수 있다.
MEV 공격
다른 블록체인과 마찬가지로 Proof of Optimization도 MEV 공격이 가능하다. 악의적인 Solver는 기존에 발행된 후보 정답들을 확인한 뒤에, 더 높은 가스비로 같은 정답을 발행하여서 보상을 노릴 수 있다.
이를 막기 위하여 commitment scheme을 사용할 수 있다. Commitment scheme은 일단 어떤 데이터의 암호화된 값을 먼저 발행한 뒤에, 나중에 그 원래 값을 공개하는 것이다. 이를 Proof of Optimization에 적용하면, Solver는 먼저 자신의 정답의 암호화된 값을 발행한다. 이 때, Validator들은 이 값을 검증할 수는 없지만, 암호화된 정답들 간의 순서에 대한 합의는 이룰 수 있다. 이후 다음 블록에서 Solver는 실제 정답을 공개하고, validator들은 이 정답을 암호화한 뒤, 이전 블록에 Solver가 발행한 암호화된 정답 값과 비교하여서 검증할 수 있다. 다만, 이는 deterministic finality를 가지는 블록체인에서만 가능하다.
적용 사례
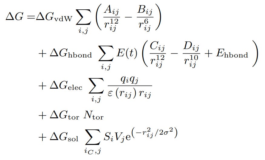
Molecular Docking
Molecular Docking은 리간드와 타겟 단백질 사이의 결합 친화도를 도출하기 위하여 scoring function S(p,t)를 사용하는데, 여기서 p는 ligand pose이고, t는 타겟 단백질의 입체구조이다. 참고로 p는 아래 그림과 같은 구성성분을 가진다.
우리의 목표는 이 S(p,t)를 최소화시키는 것이고, 이는 Proof of Optimization을 쓰기에 적합하다. Solver들은 가능한 p와 t의 조합을 시도해본 뒤에, 가장 작은 S 값을 도출해낸 (p,c)을 제출한 Solver가 Task provider의 보상을 수령한다. Molecular Docking이 Proof of Optimization을 쓰기 좋은 이유는 scoring function S를 계산하는 것이 엄청 복잡하여서, 검증하는 것이 최적의 값을 찾는 것보다 훨씬 쉽기 때문이다.
그 외
Proof of Optimization은 제약과 관련되지 않더라도, 다음과 같은 조건을 만족하는 곳에서 모두 사용하기에 적합하다.
함수 최적화의 문제를 해결해야 할 때
연산 파워가 너무 많이 필요한데, 이를 분산화된 컴퓨팅으로 비용을 낮추고 싶을 때
검증에 비하여 연산이 훨씬 어려울 때
해당 백서에서는 물리학, 엔지니어링, 로지스틱과 같은 분야에서 Proof of Optimization이 사용될 수 있을 것이라고 명시되어 있다.
마무리 생각
마틴 슈크렐리
마틴 슈크렐리는 최근 인터뷰에서 왜 그의 말이 사람들에게 들을 가치가 있냐에 대한 질문에서 3가지 답을 하였다.
인간은 모두 두번째 기회를 필요로 하기 때문이다.
나는 똑똑하고, 좋은 커넥션, 아이디어, 자본이 있기 때문에, 의미있는 프로젝트를 할 가능성이 높고, 그렇기 때문에, 안들으면 너의 손해다.
Web3와 크립토의 중심 철학은 검열에서의 자유인데, 누가 여기에 참여할 수 있고, 없고를 가르는 것은 이 철학에서 위배되는 행위이기 때문이다.
Druglike
Druglike은 Desci 프로젝트들이 이전까지 건들이지 않았던 신약 제조 과정에서 virtual screening을 다루는 흥미로운 프로젝트이다. Druglike을 통해 약을 디자인하고, 그 약의 IP가 Molecule에서 VitaDAO와 같은 BioDAO들에 의하여 구매되고, 또 다른 프로젝트를 통하여 decentralized clinical trial까지 거치는 Desci Stack을 기대하지 않을 수 없다.
Proof of Optimization
Proof of Optimization은 단지 Druglike이 아니더라도, 사회 전반적인 영역에서 사용될만한 잠재력을 가지고 있다. 물론, 현실적으로 Proof of Optimization이 얼마나 많은 Task Provider, Solver, Verifier들의 반응을 이끌어낼지와 경제적인 모델을 어떻게 설계할지는 미지수이지만, 적어도 이는 블록체인을 위한 블록체인 기술은 아니다.
또한, 이제 이더리움이 Merge를 통해 PoS로 바뀌게 되면서, 기존의 이더리움을 채굴하던 마이너들과 마이닝 풀들은 migration에 대한 고민을 해야 된다. 이 Migration에는 비트코인, 이더리움 클래식과 같은 기존의 옵션도 있지만, 이 고가의 연산 장비
들을 통해서 Druglike의 Proof of Optimization에 참여하게 된다면, 금전적인 보상은 물론, 저렴한 신약 제조에 기여함으로써 공공의 가치도 창출할 수 있지 않을까?